Catalogues - Manuels - Publicités - Livres - Mooks - Presse - Films - BD - Jeux - Internet

MOTORFAN

Toyota 2000GT

Vol. 1, octobre 1967
Texte: ?
Photos: ?

Le premier article concerne la 2000GT, Vraiment repenser la Toyota 2000GT, avec les résultats d’essais routiers et l’interview de Jiro Kawano sur le développement de la voiture.

Les essais ont été effectué les 11 et 12 juillet 1967 dans les lieux suivants :
- Laboratoire d'essais mécaniques, circuit d'Higashimurayama.
- Université de Tokyo
- Ministère des Transports
- Institut de recherche technologique des navires
- Université de technologie de Tokyo
- Université agricole de Tokyo.

Le magazine Motorfan d'octobre 1967 est épuisé depuis fort longtemps et difficile à trouver aujourd'hui. Voici un scan de l'article original.

 

L’éditeur a décidé de le republié en août 2018 sur son site : https://car.motor-fan.jp/tech/10004974 Je l'ai extrait et mis en format PDF ( 9.3 Mo) . Les photos et graphiques qui suivent sont tirés de la réédition.

La discussion se déroule à l’hôtel Fairmont. Il y a plusieurs intervenants qui conversent avec Jiro Kawano (河 野), un représentant de Motorfan (本 誌), Miyamoto (宮 本), Hirao (平 尾), Higuchi (樋 口), Kokuchi (小 口), Tateishi (立 石), Ishikawa (石 川), Akutsa (阿久津), Hirata (平 田) et Otone (音 田).
Le texte original est publié en japonais. Je me suis aidé de logiciel pour le traduire en anglais après quoi j’ai traduit en français. L’interprétation final peut différer de la version originale. Je me suis permis d'ajouter des commentaires entre parenthèses et j'ai omis quelques passages intraduisibles signalés par (...).

Une GT avec la meilleure technologie


Malgré les mauvaises conditions de la piste
le jour de l'essai, le résultat est tout de même bon
avec un 0 - 400 m en 16.1 s

Motorfan :
S’il vous plait, donnez-nous un aperçu du développement de la Toyota 2000GT.

Jiro Kawano :
Laissez-moi d’abord vous expliquer pourquoi Toyota s’est lancé dans un tel projet. Les compétitions automobiles commençaient à se développer au Japon, plus précisément les 1er et 2e Grand Prix ont déjà eu lieu (à Suzuka). La majorité des automobiles y participant étaient principalement des berlines au style carré. Voyant cela, l’idée de créer quelque chose qui ressemble à une véritable voiture de sport qui soit un pure produit Toyota commença à germer au sein de la compagnie.

La question était alors de savoir s’il fallait faire une voiture de course uniquement dédiée au circuit ou une GT avec de bonnes performances et de vraies qualités routières, que l’on ne peut pas ressentir dans une voiture de tourisme. La deuxième solution a été retenue, en pensant que l’on aurait plus à y gagner en concentrant le meilleur de notre technologie pour créer une voiture confortable, même sur longue distance, avec de bonnes accélération et une bonne maniabilité. Cela n’empêche pas de vouloir gagner des courses avec une auto aussi performante que les autres GT (cf Jaguar et Porsche).

Motorfan :
Quand est-ce-que le développement a commencé ?

Jiro Kawano :
C’était aux alentours de juin 1964, juste après le deuxième Grand Prix du Japon (Toyota s’est fait battre par Nissan)

Motorfan :
Comment s’est déroulé le développement ?

Jiro Kawano :
Le premier souci était le poids, comment faire pour ne pas dépasser la tonne en gardant la perspective de ne rien sacrifier à la qualité de conduite ? J’ai dit à la direction qu'on ne pouvais pas faire cette voiture. Ils m’ont entendu mais le plan a continué quand-même, sans se soucier particulièrement du poids. Alors je me suis concentré sur la répartition du poids, je me suis efforcé de répartir le poids équitablement entre l’avant et l’arrière du véhicule, et de ramener la masse au plus près du centre de gravité. Par exemple, j’ai essayé d’abaisser le moteur et de le reculer, ainsi que de réduire les masses non suspendues Mais le poids total doit rester bas et il doit être concentré autour du centre de gravité, c’était un souci constant jusqu’à la fin.

Il y a eu beaucoup de débats autour de la taille du moteur et de sa position, mais avec une disposition conventionnelle FR (moteur à l’avant et propulsion), le moteur de la Crown pouvait nous fournir une bonne partie des pièces dont nous avions besoin. Il n’était pas nécessaire de concevoir un nouveau moteur en partant de zéro. Et même si certains aspects n’étaient pas adéquats, je crois que nous avons réussi une belle performance.

La méthode de développement était très différente de celle employée par Toyota pour les modèles de grande distribution. Je suis devenu le chef et j’ai formé un groupe de 4 autres personnes très motivées.

Nous avons demandé à Yamaha, qui avait des connexions avec Toyota, de construire un prototype avec ce que nous avions réalisé et de le manufacturer. La relation entre Toyota et Yamaha est exactement la même qu’avec Kanto Auto lorsque nous leur demandons de nous fabriquer une carrosserie de véhicule.

Un style qui intègre fonctionnalité et esthétisme

Motorfan :
Avez-vous réalisé plusieurs prototypes avant d’arriver au style définitif ?

Jiro Kawano :
Pas vraiment. Initialement deux prototypes ont été réalisés, un a été exposé au salon de Tokyo en 1965 et l’autre, le premier, a servi à une série de tests. Je l’ai utilisé pour des tests d’endurance avant de l’amener à Yatabe pour la tentative de records.

Motorfan :
Il paraît que le moteur a subi des modifications par rapport à celui de la Crown. Qu’avez-vous fait plus particulièrement ?

Jiro Kawano :
Il est basé sur le Type M de la Crown qui est un SOHC, et il a été modifié en DOHC. La culasse a dû être remplacée mais le bloc est resté d’origine avec ses bielles et son vilebrequin. La forme des chambres de combustion a changé et les diamètres des soupapes ont augmentés, avec 42 mm à l’admission et 37 mm à l’échappement. Le cache soupape est nouveau et l’aspect extérieur est différent.

Hirao :
On dit que la ligne est très ressemblante à la Jaguar Type E. Vous en êtes-vous inspiré lors du design ?

Jiro Kawano :
Je n’y ai absolument pas pensé. Lorsque l’on design une voiture, il y a deux manières de procéder, on peut commencer par le style ou par le châssis et la structure. Cette voiture suit la deuxième voie. Premièrement il faut un châssis rigide, de solides suspensions, y placer le moteur, organiser l’espace passager et envelopper le tout. A ce moment, il ne faut aucune marge et tout faire à la limite. J’ai dessiné toutes les lignes de cette façon et j’ai transmis au designer (Satoru Nozaki).

Hirao :
Donc vous étiez lucide quant à la mécanique et à l’espace nécessaire aux occupants ?

Jiro Kawano :
Absolument.

Hirao :
La conception de la voiture devait suivre cette voie ?

Jiro Kawano :
Nous avons la conviction que fonctionnalité est beauté. J’ai fait de mon mieux pour m’assurer que si je satisfaisais à la fonction, ça serait beau. Nous pensions que la place du conducteur devait être comparable à un cockpit d’avion. En persévérant dans la fonctionnalité, ça s’en est approché.

Basé sur les données du véhicule de test réel

Hirao :
L’aérodynamique vient vraiment de ça ?

Jiro Kawano :
Pour améliorer les performances d’un véhicule, en plus du facteur poids, il faut réduire sa surface frontale. Par conséquent, n’ayant pas de soufflerie à disposition, j’ai fait au plus simple. J’ai testé un aileron à l’arrière, mais ce n’était pas très efficace et ralentissait la voiture. J’ai roulé à 200 km/h avec des fils attachés sur la carrosserie. Depuis une autre voiture, des photos ont été prises de plusieurs angles pour étudier le flux d’air autour du véhicule.

Higuchi :
C’est peut-être encore mieux de tester une vraie voiture qu’une maquette en soufflerie. Au contraire des avions, le flux d’air autour du radiateur de l’auto n’est pas le même en vrai que sur un modèle.

Jiro Kawano :
Bien sûr, si un test en soufflerie avait été possible, nous aurions aimé le faire.

Hirao :
Certaines voitures européennes ont une suspension dessinée pour obtenir un dessous de châssis plat. Y avez-vous pensé ?

Jiro Kawano :
Non, ce n’est pas nécessaire. Une voiture de course qui roule tout le temps à 200 km/h ou plus peut en tirer un bénéfice, mais je ne crois pas que ce soit utile sur cette voiture. Par contre, il est important d’étudier l’air qui vient du radiateur dans le compartiment moteur.

Hirao :
C’est juste. Il passe des deux côtés.

Jiro Kawano :
C’est inévitable. Si vous l’expulser de sous le capot, il se forme une aspiration juste après et l’air chaud sera aspiré dans la voiture (?). C’est pour ça qu’il passe autour du moteur.

Dans les coulisses d’un nouveau record du monde...

Motorfan :
Avez-vous des anecdotes à raconter sur la tentative de record du monde ?

Jiro Kawano :
Nous avons fait quatre tentatives. J’ai loué le circuit de Yatabe pour 10 jours. Au début on ne roulait que la journée. Le premier essai s’est interrompu après environ 30 heures. Le deuxième essai a duré approximativement 45 heures. Je devenais malade. Au troisième essai, on a roulé jour et nuit parce que ça ne changeait plus rien. On espérait battre 3 ou 4 records mais ça allait de mieux en mieux. Le record du monde de 72 heures a été battu à 206.02 km/h de moyenne. C’est devenu un événement avec 3 records mondiaux et 13 internationaux battus. Plus tard quand j’ai ouvert le moteur, il était encore en bon état et aurait pu rouler plus.

Miyamoto :
En vous entraînant, vous avez battu le record (rire).

Motorfan :
Cette voiture est le premier prototype n’est-ce pas ?

Miyamoto :
Après tout ça ne sert à rien.

Jiro Kawano :
Bizarrement, en utilisant que sporadiquement l’embrayage, celui-ci s'est mis à patiner à une certaine vitesse. Il se dégradait rapidement, et il m'a donné beaucoup de soucis. On a remplacé cet embrayage la veille du record et il a fonctionné.

Hirao :
Était-ce un problème de ressort trop faible ?

Jiro Kawano :
la force du ressort n’était pas en cause, mais la surface du disque. Un autre problème rencontré étaient les pneus qui s’usaient en forme de polygone (?).

Une voiture Grand Tourisme de classe internationale

Motorfan :
Quel a été votre impression suite à votre premier essai de conduite ?

Hirao :
Je pense que le premier but de cette voiture n’est pas le circuit, mais de voir comment elle est confortable sur route ordinaire. Après tout ce n’est qu’une Toyota. J'ai senti que l'auto est de classe mondiale. Le moteur est souple, la disposition des instruments et les sièges sont spacieux. Même si la fenêtre arrière est très inclinée, la visibilité est bonne. Par-dessus tout, il se dégage une atmosphère de voiture de sport.

En conduisant, je me disais que c’est une voiture que n’importe qui peut conduire. On pourrait améliorer l’auto pour la rendre encore plus facile à conduire pour le quidam. Une direction et des pédales plus légères, une boîte de vitesse plus facile à manier, voir une transmission automatique et une climatisation avec des sorties d’air sur le tableau de bord. En roulant il y a une aération au niveau de la face, mais à l’arrêt, il fait très chaud dans l’habitacle.

Higuchi :
Cette une voiture très chère, et lorsque je l’ai testée, je me suis mis à la place d’un designer plutôt qu’un utilisateur lambda. Le poids de 1230 kg est un gros problème pour moi, en général dit qu’une voiture légère est meilleure, mais il est important d’avoir un certain confort et de ne pas ressentir la fatigue sur une longue distance, et une voiture de cette catégorie pèse 1000 kg ou plus. C’est essentiel pour votre voiture. Je crois que tous les bons points de cette auto viennent de cette constatation. Je suis entièrement d’accord avec le Dr. Hirao.

Malgré tout, il est aussi vrai qu'il existe une demande pour une voiture plus douce, facile à conduire et confortable. Si vous regardez les voitures américaines récentes, il y a une tendance comme ça, y compris les voitures exportées d'Europe. Une transmission automatique avec levier au placher et une climatisation qui contrôle à la fois la température et l'humidité. C'est une tendance future qui devra être prise en considération même pour les voitures de sport.

Toyoglide à l’essai

Miyamoto :
La Mercedes 300SL ou la Jaguar Type E sont un peu trop grandes pour les routes japonaises. De ce point de vue, la 2000GT semble mieux se débrouiller. Le style est irrésistible et j’étais un peu nerveux au départ, mais très vite je conduisais comme avec ma voiture de tous les jours.

Malgré tout, si possible, je crois qu’il serait bon de faire une version 2+2 en parallèle à celle-ci.


Hirao :
Lorsque l’on atteint un certain régime, le moteur devient bruyant. Je l’ai fait exprès mais je crois qu’il est agréable de conduire doucement et en silence.

Miyamoto :
Toyota a une excellente Toyoglide (boîte automatique), pourquoi ne pas en profiter ?

Jiro Kawano :
C’est en essai sur le prototype. Après les résultats, je déciderai si on peut la proposer en série ou pas. Mais actuellement je suis très pris avec la production et je n’ai pas le temps de m’en occuper.

Hirao :
Pour monter un convertisseur de couple, il faudrait faire un moteur un peu plus gros.

Jiro Kawano :
Je suis allé aux Etats-Unis deux fois cette année pour conduire la voiture. Il n’y a aucun problème pour rouler sur l’autoroute. Et puis elle est maniable, c’était très bien. Question vitesse, vous êtes au même niveau que des voitures américaines super puissantes. Si vous êtes à 60 mph, vous êtes dans la moyenne des autres voitures. A 100 mph, il n’y a plus grand monde qui suit, et si vous êtes plus rapide encore, il n’y a plus personne pour vous suivre.

Hirao :
Ce serait bien de pouvoir conduire tant qu'il n'y a pas de voitures à suivre.

Higushi :
C’est la première fois que je conduis une 2000GT, et j'ai la sensation qu’elle vaut son prix. Malgré le fait qu’il n’y a ni air conditionné, ni boîte automatique, elle est équipée de tout ce que l’on a besoin. De plus tout est bien agencé, et solide. En voyant tout ça, je suis impressionné par l’ambiance dans la voiture.

Jiro Kawano :
La raison du prix élevé est que nous ne produisons pas beaucoup de voitures.

Merveilleux ! Accélération et formidable bruit

Higuchi :
De tout façon, avec ce niveau d’équipement, les clients seront satisfaits. Alors, quand j’ai démarré, j’ai été surpris par l’accélération et le fantastique bruit. Aussi, je n’ai pas vraiment ressenti de brusque élan comme dans d’autres voitures de sport que j’ai pu conduire. En d’autres termes, les suspensions semblent bien souples pour une sportive. Peut-être que sur circuit ce sera différent.

Jiro Kawano :
La constante (raideur K) des ressorts est augmentée de 10 à 15% pour le circuit.

Higuchi :
En conduisant et en manoeuvrant, c'était facile. Je n’ai pas pu conduire à haute vitesse, mais à 60 km/h j’avais la sensation que le comportement de l’auto n’était pas si différent d’une berline standard. J'aurais juste aimé avoir une direction un peu plus légère.

Jiro Kawano :
C’est une histoire de compromis. (...)

Hirao :
Je pense que je dois ralentire un peu.

Higuchi :
Change de vitesse (rire).

(...)

Hirao :
Quel est le régime moteur maximum du moteur ?

Jiro Kawano :
7000 t/min.

Hirao :
C'est pour cela qu'on peut monter à 70 km/h en première.

Higuchi :
Je n'ai roulé qu'en première dans le campus de l'université... (rire).

Hirao :
J'ai roulé en ville en n'utilisant que la première et la deuxième. Sur l'autoroute j'ai pu changer de vitesse, mais à 40 km/h c'est super.

Motorfan :
Le châssis poutre, les suspensions et d’autres nouvelles choses ont été adoptées par Toyota, mais quel a été votre difficulté lors du développement ?

Jiro Kawano :
Tout était nouveau, et j’étais surpris de tout ce qu’il y avait, mais ça a marché. Même s’il y a eu quelques modifications durant le processus, les 4 roues sont à suspension indépendante avec double triangulation et amortisseurs hydrauliques. Des barres stabilisatrices sont utilisées à l’avant comme à l’arrière et des silentblocs en caoutchouc sont montés pour minimiser les vibrations et le bruit. De plus, le centre de gravité de toute la voitures est extrêmement bas, à 440 mm du sol, ce qui favorise l’agilité.

La vitesse maximum est de 235 km/h

Essai de sous-virage et de survirage par virage
circulaire régulier. Le sous-virage est constaté
jusqu'à une accélération latérale de 065 g,
après quoi la voiture passe en survirage.

La photo a été prise lors d'une séance d'essai
sur le circuit de Fuji le 25 mai 1967

Motorfan :
Que donnent les résultats du test de performance du laboratoire Hirao.

Kokuchi :
Les chiffres ne sont pas optimaux parce que le sol de la piste est en mauvais état et qu’il pleuvait ce jour-là. La voiture de test a 7990 km au compteur, il y avait deux personnes à bord plus un instrument de mesure, soit un total de 139,5 kg embarqués.

(Il y a une erruer de rédaction, il est dit dans le texte que le 50-100 km/h est réalisée en 20.0 s, en 4e vitesse, alors que dans le tableau des résultats c'est le 50-90 km/h qui est donné pour ce temps.)

Le 400 m est atteint en 16.1 s avec une vitesse supérieure à 130 km/h. (...) La résistance de l'air est très faible. (...) Il est apparu difficile de tester la voiture sur la piste du Laboratoire d'essais mécaniques.

Jiro Kawano :
Je voulais l’amener à Yatabe.

Motorfan :
Les conditions météorologiques étaient mauvaises, le temps de 16.1 pour le 0-400 m correspond-il aux données d’usine ?

Jiro Kawano :
Le 400 m départ arrêté est donné pour 15.9 s dans le catalogue, mais il a été réalisé en 15.3 s avec de bons pneus et par beau temps.

Kokuchi :
Avec de bonnes conditions c’est facilement faisable en 16 s. J'ai patiné au démarrage et j'ai perdu du temps. L’accélération n’est pas foudroyante au début, mais elle augmente à partir de 80-100 km/h. C’est magnifique.

Motorfan :
Bien sûr nous n’avons pas pu pousser la voiture au maximum, mais quelle est sa vitesse maximum ?

Jiro Kawano :
Sur le catalogue, c’est 220 km/h, mais à Yatabe il semble que la vitesse moyenne au tour était de 225 km/h avec des pointes à 235 km/h.

Hirao :
Quel est le record du monde pour la vitesse maximum avec un moteur 2 litres, environ 250 km/h ?

Jiro Kawano :
Je crois que c’est autour de 270 km/h.

Voir les tableaux des résultats

Aussi silencieuse qu'une voiture de tourisme

Motorfan :
Voyons les résultats des tests de bruit et de vibration menés au Laboratoire Watari.

Tateishi :
Tout d'abord, comme c'est une deux places, je n'ai mesuré que sur les sièges avant. La fréquence du ressort est de 1.5 Hz (dans le texte cps=cycles par secondes=Hertz) en-dessus des roues avant et de 1.5 Hz en-dessus des roues arrière. La fréquence sous le ressort est de 13 à 13.5 Hz à l'avant pour 15 Hz à l'arrière.

Ensuite vient le bruit. Le bruit à l'intérieur a été mesuré de 40 à 120 km/h, en 4e vitesse.

Concernant le bruit à l’extérieur du véhicule, la norme JIS a été utilisée. En 3e vitesse, à 50 km/h, moteur à 2200 t/min, sur route mouillée, nous avons mesuré 77.5 dB.

La valeur de 1.5 Hz pour la fréquence des ressorts correspond à une voiture de tourisme. Pour le bruit, comparé aux autres voitures testées par Motorfan, on se trouve en-dessous de la moyenne, ce qui est aussi bas. En d’autres termes, nous pouvons dire que la suspension est semblable à une voiture de tourisme et qu’elle est plutôt silencieuse. Nous n’avons pas de référence pour le bruit extérieur parce que c’est une nouvelle norme de mesure. Mais on peut estimer qu’elle est considérablement moins bruyante que d’autres voitures de sport. En termes de vibration et de bruit, on peut conclure qu’elle est aussi confortable qu’une voiture de tourisme.

Voir les tableaux des résultats

Le poids de la voiture, les freins, etc. sont caractéristiques d'une voiture de luxe

Motorfan :
Examinons les mesures prisent à Funaken.

Ishikawa :
Premièrement, le poids de la voiture avec la roue de secours, la trousse à outils et le plein d’essence est de 1134 kg. Sa distribution est de 575 kg sur l’avant et 559 kg sur l’arrière, ce qui représente une répartition de 51:49. Il faut noter qu’il y a 30 kg de moins sur la roue avant gauche par rapport à la roue avant droite (272 kg contre 303 kg). Ensuite, j’ai mesuré avec un puis deux passagers. Avec 2 personnes, le poids est de 1257 kg avec une distribution de 614 kg à l’avant et 643 à l’arrière, donc une répartition de 49:51.

Le poids à vide officiel de la voiture est de 1120 kg, divisé par la surface occupée au sol, soit la longueur multipliée par la largeur, on arrive à un poids de 168 kg/m2, ce qui est relativement lourd.


Lors de la mesure de l'alignement des roues,
l'avant présente un peu d'ouverture alors qu'à
l'arrière, c'est un léger pincement.
La photo originale mantrait une 2000GT
avec une plaque "Mikawa 57".

Hirao :
C’est combien pour une Benz ?

Ishikawa :
C’est équivalent à une voiture de sport Mercedes-Benz. En général les voitures de luxe sont lourdes.

Jiro Kawano :
Elle aurait pu être plus légère avec un style de carrosserie légèrement revu et des tôles bombées, mais à cause de la résistance de l’air et d’autres problèmes, le poids au mètre carré est devenu plus grand.

Ishikawa :
En regardant le rapport puissance/poids, on obtient 134 ch/tonne (équivaut un rapport poids/puissance de 7.46 kg/ch). C’est un très grand chiffre, donc même si elle est lourde, il y a beaucoup de puissance, l’accélération et le reste est meilleur.

Ensuite le parallélisme des roues avant montre une très légère ouverture. A l’arrière, au contraire, il y a un léger pincement. Ces chiffres ne changent pratiquement pas avec un ou deux passagers.

A propos des freins, c’est la première automobile japonaise produite avec des disques aux 4 roues, accompagnés d’un servo-frein à dépression qui réduit la force à appliquer sur la pédale. En appuyant sur la pédale avec 25 kg, elle s’enfonce de 60 mm (on parle de force de freinage en kg, ce qui ne signifie pas grand-chose, si encore on parlait de pression dans le circuit… Une partie du texte est incompréhensible pour moi et par conséquent je ne peux traduire certaines inscriptions sur le graphique). Avec 20 kg d’appui sur la pédale de frein, la distribution du freinage entre l’avant et l’arrière est de 65:35. Cette répartition rend difficile le blocage des roues arrière.

(...)

Le frein à main est habituellement très dur lorsqu’il agit sur les disques arrière, mais pas sur cette voiture. En appliquant 19 kg sur le frein on obtient une force équivalente à 20% du poids de la voiture. C’est comme utiliser un frein de parking à tambour. Le manche est une poignée qui se tire vers l’arrière et il est très facile à utiliser. La course est de 78 mm pour 19 kg.

La force à appliquer au levier de vitesses est de l’ordre de 3 à 5 kg, quantité normale pour une voiture de sport. Sur une voiture de tourisme, on est autour de 2 ou 3 kg, c’est donc un peu plus dur. Le problème est l’embrayage qui est plutôt lourd. Il faut 14 kg pour débrayer et 12 kg pour embrayer. Pour la plupart des berlines, il faut 10-11 kg pour débrayer et 10 kg ou moins pour embrayer, donc on est plus lourd.

L'accélérateur est de 5 kg ou moins, 1,5 kg lorsque deux personnes roulent à vitesse constante, 4,5 kg lors d'une accélération brusque et 8 kg lorsqu'il est complètement enfoncé. Cependant, il est jusqu'à environ 5 kg pour une accélération normale, qui est une valeur standard.

Motorfan :
Dans le cas de cette voiture à 4 freins à disques, quel est le mécanisme du frein à main ?

Jiro Kawano :
Lorsque vous appuyez sur la pédale de frein, le levier tire le câble relié aux étriers qui agissent sur les disques arrière.

Motorfan :
Le réglage de la longueur de la colonne de direction est une première pour une voiture japonaise.

Miyamoto ;
Ça vient de la Benz.

Higuchi :
C’est pratique de pouvoir ajuster le volant. Dès lors que la position de conduite est différente si on conduit à Tokyo ou si on est sur l’autoroute, c’est mieux d’avoir la possibilité de réglage.

Voir les tableaux des résultats

Taux de roulis adapté aux voitures de sport

Motorfan :
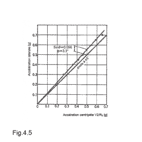
Maintenant, regardons les résultats des tests de maniabilité et de stabilité menés par le laboratoire de Kondo de l’Institut de technologie de Tokyo.

Akutsu :
Le test a été conduit avec deux passagers et un instrument de mesure (42 kg). La roue de secours et la trousse à outils ont été retirées. Premièrement, le rayon de braquage mesuré sur la partie extérieure de la carrosserie est de 5.78 m.

Ensuite le test de sous-virage et de survirage est effectué en tournant en cercle. On est en sous-virage jusqu’à obtenir une accélération latérale de 0.65 G, puis, soudainement, on passe en survirage. A ce moment-là, la force appliquée au volant est de 4 kg. Le taux de roulis est d’environ 3.3 °, ce qui est une valeur correcte pour une voiture de sport.

(...)

Le test de stabilité directionnelle a été effectué jusqu'à 120 km / h, mais l'ajustement était bon. Le laboratoire de Kondo a utilisé un accéléromètre à enregistrement automatique et le 0-400 m a été mesuré en 15.9 s, ce qui est identique à la valeur catalogue.

Motorfan :
Est-ce que les tests d’usine ont montrés la même tendance au sous-virage et survirage ?

Jiro Kawano :
Je n’ai pas expérimenté cela.

Hirao :
Cette voiture n’est-elle pas équipée d’un différentiel autobloquant ?

Jiro Kawano :
C’est une différentiel à glissement limité.

Hirao :
Je pense que le soudain virement de comportement vient de là.

Jiro Kawano :
Il doit y avoir quelque chose comme ça.

Motorfan :
Voyons les résultats de la mesure du champ visuel effectuée à l'Université d'agriculture et de technologie de Tokyo.

Hirata :
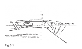
Comme d'habitude, j'ai mis un mannequin sur le siège du conducteur, placé un appareil photo avec un objectif fisheye à la position de l'œil, pris diverses photos et mesuré. La hauteur du sol au point de vue est de 98,5 cm lorsque le siège est à l'avant, de 99,8 cm lorsqu'il est à l'arrière, et la distance horizontale entre le capuchon d'objectif et la vitre avant est de 6,5 cm à 42 cm. (…) L’angle de visibilité sur le plan horizontal par le parebrise est de 126° à 114°, verticalement d'environ 22° à 18°, et l'angle pour voir la route depuis le point de vue est de 7°.

Par le lunette arrière, l’angle horizontal est de 41,5 ° à 48 ° et le verticale de 4 ° à 3 °, ce qui est étroit en hauteur. Vient ensuite la plage d'essuyage des essuie-glaces, qui est de 90,5 ° à 86,5 ° dans le plan horizontal, et le format est légèrement différent de celui normal, de sorte que le rétroviseur d'aile peut être bien vu même lorsque l'essuie-glace est en mouvement.

L'angle mort est de 44,0 ° en regardant uniquement vers l'avant, soit 24,4% du total, et cela ne change pas même si le siège est abaissé. La visibilité du rétroviseur intérieur est très bonne et vous pouvez voir 100% de la lunette arrière. Il n'y a pas d'autre voiture comme celle-ci. Même si la vitre est petite, on a quand-même une bonne vue à l’arrière.

Voir les tableaux des résultats

Bonne conduite avec des sièges bas

Motorfan :
A propos des mesures dimensionnelles de chaque élément effectuées au Laboratoire Higuchi.

Otone :
Je n’ai jamais mesuré une voiture de ce type auparavant, je n’ai donc pas de point de comparaison, mais j’ai quelque remarque.

La première chose qui frappe en regardant la carrosserie de la voiture sont les phares escamotables. La ligne fluide du corps est cassée en sortant ces phares. Bien sûr, on les sort la nuit, ce qui est moins visible. J’ai entendu dire que c’était pour les normes américaines et qu’il a fallu ajouter ces phares en plus de ceux en extrémité, pour un usage domestique, c’est mieux de les oublier.

Ensuite je suis allé sous la voiture pour mesurer la garde au sol et j’ai découvert un dessous de châssis très plat et magnifiquement fini. Tout le monde a été impressionné par cela. De plus les petites vitres triangulaires (dans les fenêtres de portières, qui pouvaient pivoter pour créer un courant d’air dans l’habitacle) ont disparues et l’aération se fait par un puissant ventilateur. L’absence de ces vitres rafraichit la ligne.

Je me suis demandé si le hayon arrière devait nécessairement être aussi grand. Si vous voulez y mettre un grand bagage, il faudra une lanière ou quelque chose comme ça. S'il s'agit d'un petit objet, je pense qu'il est préférable de réduire la porte arrière pour lui donner un meilleur style. Le réglage de la direction était de 60 mm au catalogue, mais il n'a bougé que d'environ 40 mm, probablement parce que nous n’avons pas bien su faire.

Les sièges sont très bas et offrent beaucoup d'espace pour la tête, mais le confort d'assise est très bon, on se croirait dans un siège de voiture de sport et il y avait un espace inattendu. Cependant, j’aurais voulu des repose-pieds à gauche et à droite pour le passager. C’est une voiture de classe rapide, il est nécessaire de reposer ses pieds.

Parmi les interrupteurs à bascule, le clignotant est positionné différemment que dans une berline standard et il n’est pas pratique pour le remettre en position neutre. Ce n’est pas un problème pour de longues distances ou pour courir sur circuit.

Pour les phares, la commande d’extraction des phares est différente de l’interrupteur de ceux-ci, et il semble qu’ils ne soient pas liés, j’aurais aimé qu’il n’y ait qu’un seul levier principal. Tous les interrupteurs sont à bonne portée et j’apprécie que tous les compteurs soient dirigés vers le conducteur.

Jiro Kawano :
La grande porte arrière est nécessaire pour sortir la roue de secours. Une porte plus petite rendrait difficile la manipulation.

Voir les tableaux des résultats

Des équipements au-dessus de la norme en matière de sécurité

Motorfan :
Parlons du contrôle de sécurité effectué au laboratoire Higuchi.


Essai de freinage à Funaken. L'image originale
montre le test sur un rouleau à l'Institut de recherche
sur les navires du Ministère des Transports.
Cette image semble être une autre occasion.
(C'est un prototype qui a servi à des tests d'endurence)

Higuchi :
Pour la sécurité, nous avons créé une check-list de 30 points répartis dans 5 catégories comme la carrosserie, l’habitacle, le fonctionnement ou encore la protection du passager, se référant aux normes de sécurité américaines, etc. Les notes vont de 1 à 5, 5 étant le maximum et 1 représentant quelque chose qu’il faut améliorer immédiatement. La moyenne étant 3.

Cette liste est la même pour tout type de voiture, mais cette fois c'est 72 points basés sur cette liste. La plupart des voitures de cette catégorie ont un score de 65 à 70, donc je pense que c'est un peu mieux que la norme.

En regardant les détails, les 5 points sont liés à la direction, qui absorbera dans une certaine mesure les chocs en cas de collision et contribuera à la sécurité du conducteur. Autre chose est l’équipement complet comprenant des ceintures de sécurité de type harnais (?), la lunette arrière est également équipée d'un dégivrage électrique en série, le tableau de bord est entièrement noir et non éblouissant, et l'essuie-glace qui ne brille pas, etc. Par contre, le point que je veux que vous changiez tout de suite, c'est les pare-chocs. Les deux petits bouts à l’avant et à l’arrière semblent insuffisants pour jouer leur rôle de pare-chocs. Il s'agit plus de la sécurité de la carrosserie que de la sécurité du conducteur...

A part cela, il existe de nombreux éléments d'environ 4 points, dans l’ensemble, et on peut dire que la plupart des équipements sont au-dessus de la moyenne.

85% du total est destiné à l'exportation

Motorfan :
Quel est le plan de production ?

Jiro Kawano :
La sortie était prévue à la fin de l'année dernière, mais en raison de quelques modifications devant être apportées, le démarrage a été beaucoup retardé. Pourtant, nous visons à produire 500 unités d'ici la fin de cette année. Quant à la répartition des ventes, 80 à 85 % du total est prévu pour être exporté à l'étranger, principalement aux États-Unis. Il devrait rester environ 20% pour le Japon. Même si nous exportons 400 voitures aux États-Unis, Toyota compte actuellement 650 concessionnaires aux États-Unis, donc ce n'est même pas une voiture pour chacun. Et comme les normes de sécurité deviendront plus strictes à partir de l'année prochaine, nous essaierons d'augmenter le nombre autant que possible d'ici la fin de cette année.

Motorfan :
Prévoyez-vous de sortir ultérieurement une 2+2 comme la Jaguar Type E ?

Kawano :
J'ai fait pas mal de recherches sur l'étude de marché pour une 2+2 aux Etats-Unis et il semble que Jaguar comptait en vendre beaucoup, mais cette version n'est pas du tout devenue populaire, et tout récemment, le prix du 2+2 a été réduit de 300 $. Notre politique est de produire cette voiture en 2 places stictes, et nous ne pensons pas à une 2+2 pour l'instant.

Motorfan :
Merci beaucoup.


Caractéristiques principales de la Toyota 2000GT

Moteur : 6 cylindres en ligne DOHC, alésage 75 mm, course 75 mm, cylindrée totale 1988 cm3, compression 8.4, puissance maximum 150ch/6600 /min, 3 carburateurs type Solex, capacité du réservoir d’essence 60 litres.
Transmission : embrayage à sec simple plateau à commande hydraulique, boîte de vitesses à 5 rapports avant plus marche arrière, tous synchronisés, rapport de vitesse supérieur 5ème 0.844, 4ème 1.000, 3ème vitesse 1.179, 2ème vitesse 1.636, 1ère vitesse 3.143, marche arrière 3.238, différentielle à glissement limité hypoïde, rapport de réduction 4.375 (4.111, 4.625 en option sont également disponibles), direction à crémaillère, freins à disques hydrauliques à l’avant et à l’arrière.
Suspension : indépendante à l'avant et à l'arrière, châssis en X, pneus 165HR15 (à l'avant et à l'arrière).
Dimensions et poids : Empattement 2330 mm, voies (avant et arrière) 1300 mm, longueur totale 4175 mm, largeur totale 1600 mm, hauteur totale 1160 mm, garde au sol minimale 155 mm, poids du véhicule à vide 1120 kg, capacité 2 personnes, poids total du véhicule 1230 kilogrammes.

 

 

1. Tests de performance de puissance

Laboratoire Hirao, Institut des sciences industrielles, Université de Tokyo

 

Date du test : 11 juillet 1967
Lieu d’essai : Centre d'essais mécaniques, circuit d’Higashimurayama
Météo : légère pluie, route humide
Carburant utilisé : Premium
Kilométrage du véhicule : 7990 km
Poids du véhicule : 1120 kg (valeur catalogue)
Capacité de charge : 139.5 kg
Poids lors du test : 1259.5 kg



1. Compteur de vitesse

Vy = 0.96Vm-0.59

Vy ; vitesse réelle [km/h]
Vm : vitesse compteur [km/h]

 

Etalonnage du compteur de vitesse

Vitesse compteur [km/h]

20

40

60

80

100

120

Vitesse réelle [km/h]

18.6

37.9

57.1

76.3

95.6

114.8

 



2. Accélération

Temps d'accélérations distance

Distance [m]

50

100

200

400

Temps [s]

4.5

6.9

10.4

16.1

 

 

Temps d'accélérations vitesse [s]

Départ

Rapport de boîte

Vitesse initiale [km/h]

Vitesse atteinte [km/h]

40

50

60

70

80

90

100

110

120

130

Arrêté

-

0

3.2

4.2

5.2

6.3

7.4

8.5

9.6

10.9

12.5

14.4

Lancé

3

28.2

4.0

6.5

8.6

10.5

12.5

14.5

16.5

18.5

20.6

22.7

Lancé

4

37.9

 

4.2

7.0

9.8

12.3

14.7

17.2

19.6

22.2

 

Lancé

5

47.5

 

 

6.0

9.9

16.5

20.0

 

 

 

 

 

 

Même sur route mouillée, ce sont des résultats de hautes performances.


3. Performances en roue libre

La résistance au roulement est mesurée en roue libre à grande vitesse en utilisant la méthode des moindres carrés.

R = 18.3 + 0.0027V²

R: résistance à la course [kg]
V: vitesse du véhicule [km/h]

Selon norme de test JIS D-1015

Vmoyenne = 18.14 [km/h]
R = 18.09 [kg]
G: poids spécifique = 1259.5 [kg]
A: surface frontale = 1.43 [m2]

alors

R = 0.014G + 0.018AV²
Coefficient de résistance au roulement μγ = 0.014
Coefficient de résistance à l’air μe = 0.0023 [kg/㎡(km/h)2]

 

 

2. Tests de vibration - bruit

Laboratoire Watari, Institut des sciences industrielles, Université de Tokyo, Tateishi, Nishiyama, Kurabayashi

 

Type de test : test de bruit de fonctionnement
Date du test : 11 juillet 1967
Voiture d'essai : Toyota 2000GT
Lieu d’essai : Laboratoire Murayama
Poids total en charge du véhicule au moment de l'essai : 1261 kg
État de la chaussée : mouillé
Type de transmission : manuelle
Vitesse de l'instrument du véhicule d'essai : 50 km/h
Rapport de transmission : 3ème< vitesse
Régime moteur : 2200 t/min
Pilote : Nakahara
Mesureur : Tateishi

 



Lors du test de vibration, la voiture franchit une plaque d'obstacle sur la route, la forme d'onde de vibration indiquée sur la figure est mesurée par le vibromètre fixé au plancher. La grande forme d'onde sur la figure est la vibration du ressort (carrosserie du véhicule), et la petite forme d'onde de vibration non suspendue (roue) apparaît sur la première bosse. L'onde carrée inférieure représente une fréquence de référence de 1/5 s. La fréquence peut être obtenue par le rapport du cycle de vibration sur le temps f = 1/T. Le confort de conduite des vibrations est déterminé à partir de ces fréquences et de l'amortissement.

Vibrations

Type de suspension

Emplacement de la mesure

Fréquence ressorts [Hz]

Fréquence roue [Hz]

Roue avant

Ressort hélicoïdale et double triangulation

Plancher siège avant

1.5
1.5

13.0
13.5

Roue arrière

Ressort hélicoïdale et double triangulation

Plancher siège avant

1.5
1.5

15.0
15.0

Pour le test de bruit, la voiture roule sur une route pavée droite et plane, en 4e vitesse. Le niveau sonore est capté au centre de l’habitacle à plusieurs vitesses de roulement.

L’unité utilisée ici est le phone (« ホーン» en japonais). C’est l’unité de la sonie, niveau acoustique perçu d'un son. C’est une grandeurs psychosensorielle définie empiriquement selon différentes méthodes d'évaluation et de normes. Plutôt qu'une mesure, la sonie est un indicateur de volume sonore. Le phone dépend de l’amplitude et de la fréquence de l’énergie vibratoire mais également de la pression acoustique. Le niveau d’intensité sonore est le rapport de puissance entre une pression acoustique et une valeur de référence normalisée. Il s’exprime en dB et suit une règle logarithmique. L’intensité sonore ou intensité acoustique est différente, c’est la puissance transportée par les ondes sonores, par unité de surface, elle se mesure en W/m2.

Pour en revenir au phone, c’est une unité utilisée autrefois avant la généralisation du décibel. Au Japon, le phone a été aboli le 30 septembre 1997 par le Ministère de l’économie, du commerce et de l’industrie dans la Loi des méthodes de mesure. Ceci au profit du décibel.

Tant en phone qu’en décibel, les mesures sont pondérées en fonction de plusieurs sensibilités afin de mieux refléter la manière dont les humains entendent. La pondération A filtre les basses et hautes fréquences pour les atténuer, ce qui correspond à peu près à ce que perçoit une oreille normale humaine moyenne. Elle est couramment utilisée pour l’évaluation de la sonie et est notée dB(A). La pondération C, en dB(C), correspond au comportement de l'oreille humaine pour des intensités sonores plus élevées et a été standardisée en 2003. Sans comparaison avec d’autres mesures dans une autre voiture, les données récoltées ne signifient pas grand-chose. J’estime que les valeurs données en phone(A) correspondent grosso modo à des décibel+10.

Références : 1, 2, 3, 4, 5.

 

Niveau de bruit dans l'habitacle

Vitesse [km/h]

 

40

50

60

70

80

90

100

110

120

Niveau sonore [phone]

(A)

65

67

69

71

72

74

75

76

77

Niveau sonore [phone]

(B)

93

93

93

95

95

95

95

96

96

 

 

Niveau de bruit extérieur

Emplacement du sonomètre

N° mesure

Bruit de fond [phone]

Niveau sonore [phone]

Mesures

Moyenne

A gauche

1

40

78

77.5

2

40

77

A droite

1

 

 

 

2

 

 

 

3. Poids - Alignement - Freinage

Ministère des Transports, Institut de recherche technologique des navires, Kensaburo Ishikawa

 

Test de fonctionnement de la pédale de frein servo

 

Test des freins (essieu avant)

Test des freins (essieu arrière)

 

Test de plateau de frein principal (chaque axe)

 

Test de fonctionnement de la pédale de frein servo

 

Frein à main sur banc d’essai (chaque roue)

 

Frein à main sur banc (efficacité)

Fonctionnement du frein à main

 

Test de la pédale d’embrayage

Test de la pédale d’accélérateur

 

Répartition du poids [kg]

 

Véhicule vide

1 passager

2 passagers

Charge sur la roue

Charge sur l'essieu

Charge sur la roue

Charge sur l'essieu

Charge sur la roue

Charge sur l'essieu

Poids

%

Poids

%

Poids

%

Test

Roue avant

Gauche

272

575

50.7

274

596

50.5

294

614

48.9

Droite

303

322

320

Roue arrière

Gauche

281

559

49.3

292

601

50.0

320

643

51.1

Droite

278

309

323

Total

1134

 

 

1197

 

 

1257

 

 

Nominal

Total

1120

 

 

 

 

 

1230

 

 

 

Parallélisme ou ripage [m/km]

Equipage

Poursuivre

En arrière

Vers l'avant

Retour

Compter

Roue avant

Roue arrière

Roue avant

Roue arrière

1

-

1

-1.5

+2.7

-4.4

-3.0

2

-

2

-2.0

+3.0

-4.1

-3.1

+ : pincement

- : ouverture

 

Force de fonctionnement de chaque pièce

Pièce

Force de fonctionnement [kg]

Remarques

Levier de vitesse

Changement de vitesses

Embrayage

12 - 14

 

Accélérateur

accélération 4.5
vitesse constante 1.5

2 passagers
vitesse constante de 50 km/h

Serrure de porte

5.5

 

Manette fenêtre

fermer 4.0
ouvrir 2.5

 

Manette glissière du siège

4.0

 

Manette inclinaison dossier

3.0

 

 

4. Tests de stabilité et de maniabilité

Laboratoire Kondo, Université de technologie de Tokyo

 

Date du test : 12 juillet 1967
Météo : Nuageux (flaque d’eau sur la piste)
Poids en charge : 2 passagers + instrument (42 kg)
Remarque : pas de roue de secours ni d’outils embarqués
Organisation et analyse des données : Kawada

 

Rayon de braquage minimum (virage à droite)

Test de sous-virage et de survirage,
point central du parechoc avant
(Ro ≒ 14.3 m, virage à droite)

 

Tests de sous-virage et de survirage
(Ro ≒ 14.3 m, virage à droite)

 

Diagramme montrant le degré de sous-virage et de survirage

 

Relation entre l’accélération latérale
et l’accélération centripète
(calcul du taux de roulis moyen)

Relation entre l’angle de roulis
et l’accélération centripète

 

Force de braquage (chaussée en béton)

Test de ligne à 8 caractères (?)

 

Disposition de la force sur le volant pour le test de fonctionnement à 8 caractères (?)

 

Force de direction, conduite en slalom

 

Accélération au démarrage

 

Stabilité de la direction de relâchement (enregistrement de l’accélération latérale)

 

5. Mesures dimensionnelles

Laboratoire Higuchi, Université agricole de Tokyo

 

Dimensions de la carrosserie

 

Position des pédales

 

Tableau de bord

 

Grille du levier de vitesse

 

Dimensions intérieures

 

Dimensions intérieures

 

Portée des leviers de commandes

 

(Il s'en suit un tableau regroupant la liste des service à effectuer sur la voiture, intraduisible.)

 

 

6. Mesures du champs visuel

Laboratoire Yamamoto, Université agricole de Tokyo

Hauteur du sol au point de vue 98.5 cm devant le siège, 99.8 derrière le siège.
Distance su point de vue au parevrise 36.5 cm.
Distance de déplacement 5.5 cm, 42.0 derrière le siège.

 

Angles de visibilité [°]

 

Visibilité parebrise

Visibilité arrière

Plage d'essuyage

devant le siège

derrière le siège

devant le siège

derrière le siège

devant le siège

derrière le siège

droite
gauche
total

54.0
72.0
126.0

42.5
71.5
114.0

1.0
40.5
41.5

1.0
47.0
48.0

30.0
60.5
90.5

23.5
63.0
86.5

supérieur
inférieur
total

15.0
7.0
18.0

11.0
7.0
18.0

2.0
2.0
4.0

1.0
2.0
3.0

 

 

 

Angle mort dans le plan horizontal [°]

 

angle mort général

devant

devant droit

devant gauche

devant le siège
derrière le siège

98.5 (27.4%)
111.0 (30.8%)

44.0 (24.4%)
44.0 (24.4%)

16.0 (17.8%)
14.5 (16.1%)

28.0 (31.1%)
29.5 (32.8%)

 

Angle solide visible (stéradian) [sr]

 

vue de face
intervalle

vue de face
gamme

balayage
essuie-glace


③ / ②

vue arrière
intervalle

vue arrière
gamme

devant le siège
derrière le siège

1.12
1.04

0.75
0.57

0.49
1039

65
68

0.760
0688

0.110
0.168

 

Portée visible du rétroviseur intérieur

 

droite

gauche

total

angle solide dans la plage visible

rapport à la lunette arrière

devant le siège
derrière le siège

1.0
1.0

40.5
47.0

41.5
48.0

0.110
0.168

100%
100%

 

 

© Motorfan 2018/08/22

Page d'accueil - Plan du site - Contact